An image of pipes due for Sonomatic's Pipeline Inspection services

Avaliação de Tubulações e Planejamento de Inspeção

The integrity of pipework is essential for the safe and reliable operation of process plants. Inspections are traditionally performed at many individual test points, with the results recorded in an inspection database. This approach has generated a large amount of valuable data that is often underutilised. When used to its full potential, this data can be used to enhance the integrity management process.

Using in-depth statistical analysis, Sonomatic has developed a methodology and accompanying software that uses historical and recent data to highlight trends and better inform inspection planning. This delivers more efficient and targeted inspections, which represents significant cost savings and better planning for when repair or replacement may be necessary.

Analysis

Inspection of individual test points generates a large amount of data but once recorded, this data often plays a minor role in the integrity management process, or is only used locally at the individual locations. Sonomatic’s methodology makes better use of this data by analysing it to identify trends across an inspection circuit or sub-groupings within a circuit (such as feature type).

Once the data has been modelled, data from new inspection campaigns can be dropped into the analysis for immediate update of the models. At this stage, a change in behaviour will be identified more quickly and incorrect entries can be identified and queried.

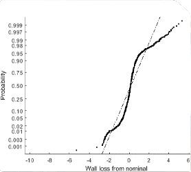
A visualisation of statistical analysis from Sonomatic's Pipeline Inspection
This Approach has Several Benefits:
  • Recognition of Statistical Sampling of Current Approach.
  • Full Data Sets Usage to Better Assess Historic Results and Trends.
  • Analytical Prediction of Future Inspection Windows
  • Identification of Group(s) Showing a Significant Deviation From the Trend
  • Calculation of Short and Long Term Corrosion Rates
  • Highlight Areas of Minimal Inspection
  • Engineering Assessments & Technical Reporting

Inspection Planning

Analysis results feed into the Risk-Based Inspection (RBI) process, enabling more informed inspection planning decisions and offering additional insights not obtained by the traditional approach.

A flowchart of Sonomatic's pipework inspection planning processes
The planning process includes:
  • Data trends are used to calculate expected wall thicknesses for the current inspection campaign.
  • An indicator of the current corrosion state, whether corrosion is absent, severe etc.
  • Where corrosion is present, or expected to be found, the extent of this corrosion based on data trends and historic information calculated.
  • Recommendations on coverage level and any relevant point groupings that should be focused on, resulting in a more targeted inspection.
  • Recommendations on the type of inspection to be carried out, and the coverage (number of features of each type). The recommendations are made by consideration of the ranking and the consequences of failure.
  • The inspection models can be integrated into the data collection software to allow for faster identification of any change in behaviour or capture of incorrect data entries by identifying a change in trend.

Desenvolvimento de software

A look at the software visualising the data from a pipework inspection

Underpinning our pipework analysis methodology is our in-house software, SPIDARS. This software has a range of features which enhances Sonomatic’s pipework analysis.

Software Features:
  • Automatic Spurious Entry Data Screening
  • Data Grouped and Sub-Grouped to Identify the Different Trends Within the Data
  • 3D Isometric Model Which Acts as a Digital Twin, Where Inspection Results, Analysis and Photographs Can be Accessed
  • 3D Model Includes Illustrative Display on Historic Inspection Frequency, Number of Times Inspected, and Corrosion Rates etc.

Entre em contato conosco hoje mesmo.

Entre em contato conosco hoje mesmo.